Researchers at College of Engineering Physics, Shenzhen Technology University (SZTU), collaborating with Southern University of Science and Technology (SUSTech) and the Technical University of Munich (TUM), have achieved a critical advance in low-cost, high-performance short-wave infrared (SWIR) imaging technology. Their findings, published in the top-tier journal ACS Photonics, address critical limitations in quantum dot-based detectors. SZTU is the primary affiliation. Chen Simin, from the SZTU-Hubei University Joint Master’s Program, is the first author, Associate Prof. Chen Wei the first corresponding author.

(a−c) SEM images of the QD HTLs, (d−f) 2D GISAXS data of QD HTLs made of different configurations in size, (g−i) corresponding azimuthal integrations of the 2D GISAXS data. [Photo/https://pubs.acs.org/doi/10.1021/acsphotonics.4c01864]
Traditional single-size QD HTLs develop micrometer-scale cracks during manufacturing, causing leakage current and diminished device performance. By blending large and small lead sulfide (PbS) quantum dots, the team created a crack-free HTL film that can improve device performance by reducing leakage current.

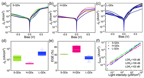
J−V curves of 30 devices with (a) S-QD HTLs, (b) H-QD HTLs, and (c) L-QD HTLs. (d) Statistics of the dark current density of the devices at bias = −0.5 V. (e) Statistics of the device EQE. (f) LDR of the champion devices made of different HTLs. [Photo/https://pubs.acs.org/doi/10.1021/acsphotonics.4c01864]
SWIR imaging (800–2000 nm) is vital for autonomous vehicles, industrial sensing, and biomedical applications. The current InGaAs SWIR technique remains costly and complex. The team has developed a novel hybrid-size quantum dot (Hybrid-Size QDs) hole transport layer (HTL) for photodetection and imaging application. This innovation slashes dark current by over 50% while boosting external quantum efficiency (EQE) to 65%, significantly enhancing SWIR detection sensitivity. These results demonstrate that mixing different-sized QDs improves film quality and optimizes the electronic properties of the QD HTL, thereby offering a promising pathway for fabricating high-performance QD SWIR detectors and imagers.
Drafted by Daisy(姚琦)/ International Cooperation and Exchanges Department
Revised by Brian(郑斌)/ International Cooperation and Exchanges Department
Edited by Brian(郑斌)/ International Cooperation and Exchanges Department